เลือกตั้ง 2569 : กกต. เผยจำนวนผู้มีสิทธิเลือกตั้ง สส. ทั้ง 400 เขต รวม 52.9 ล้านคน อาจขยับได้อีกเหตุเพิ่ม-ถอนชื่อได้ถึง 28 ม.ค. ย้ำช่องทางตรวจสอบสิทธิเลือกตั้ง สส. - ออกเสียงประชามติ - แจ้งเหตุไม่ไปใช้สิทธิ


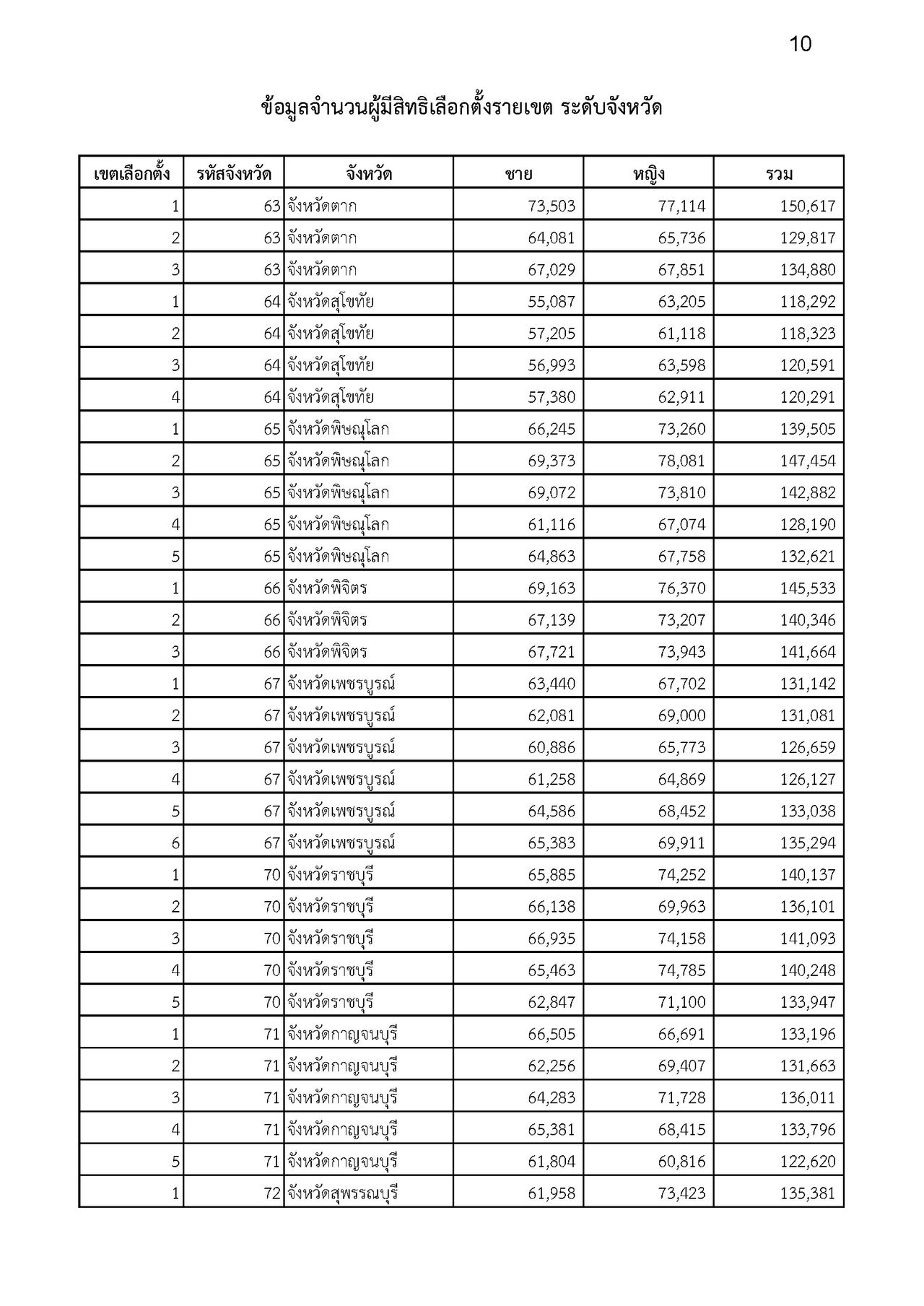
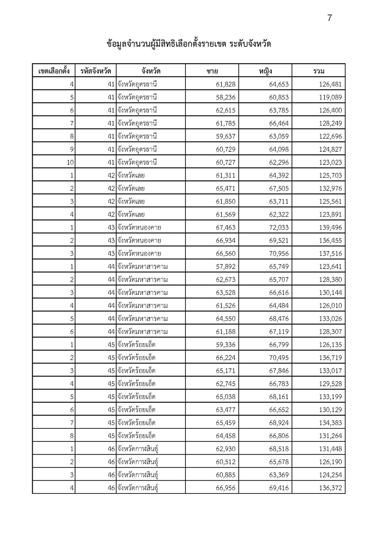
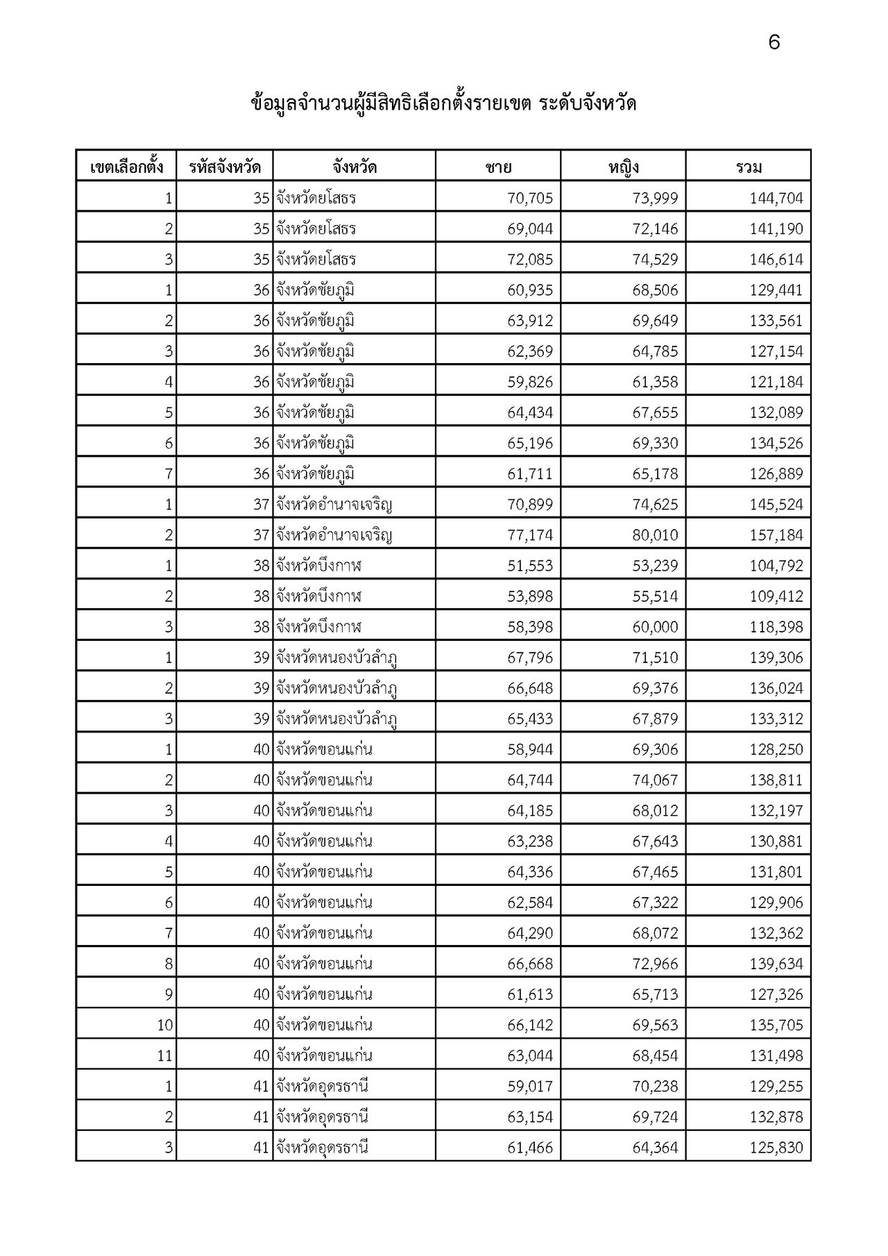
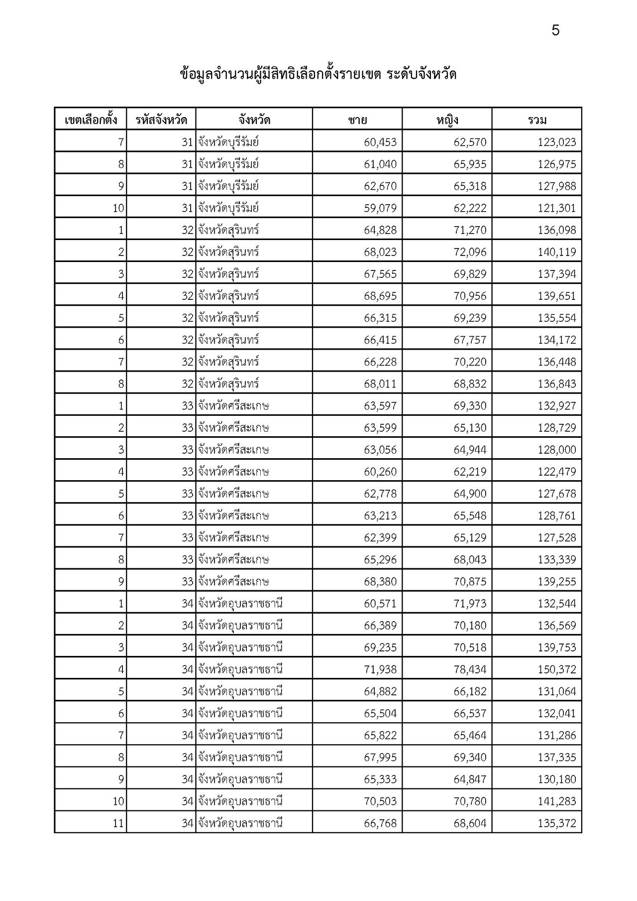
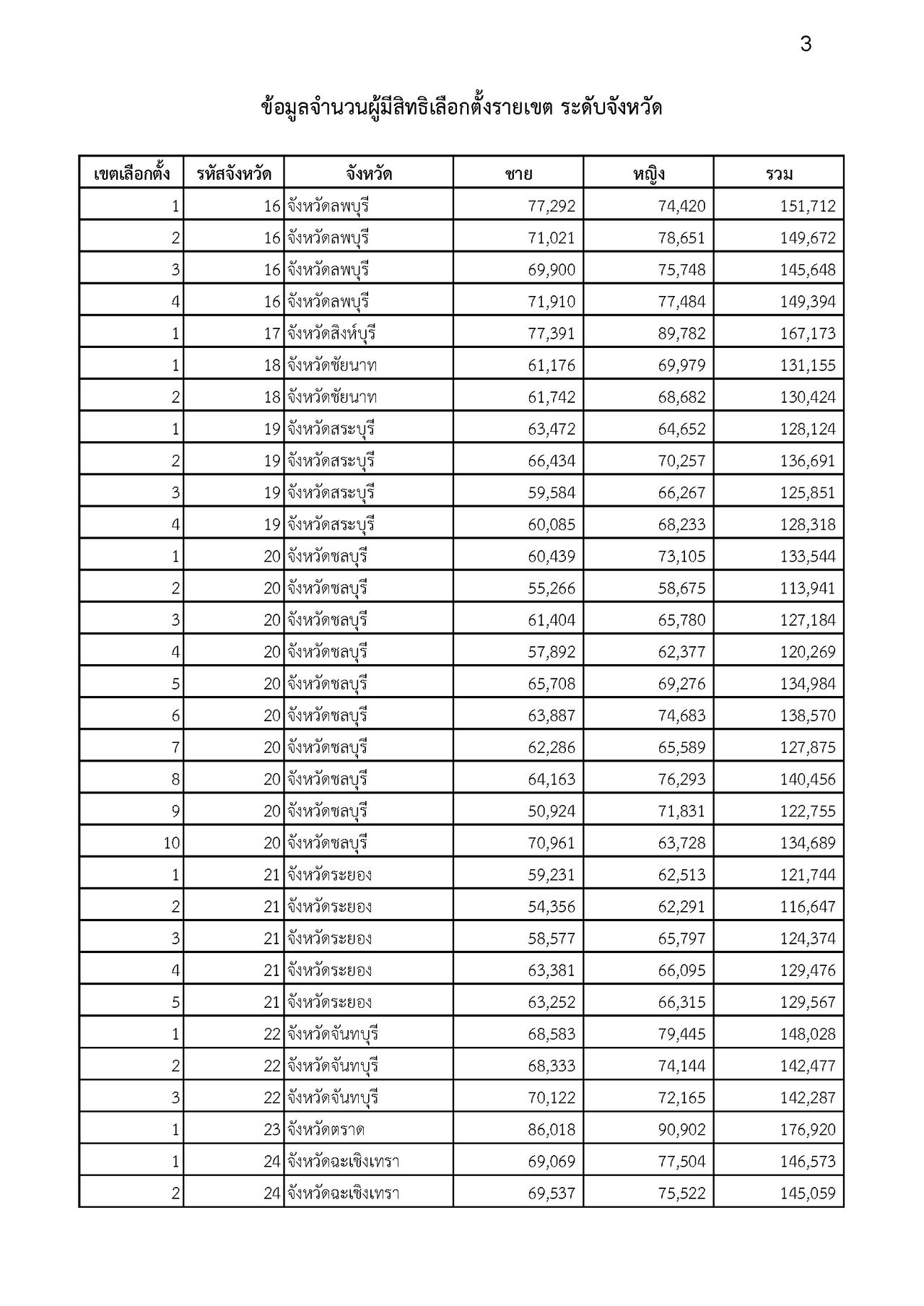
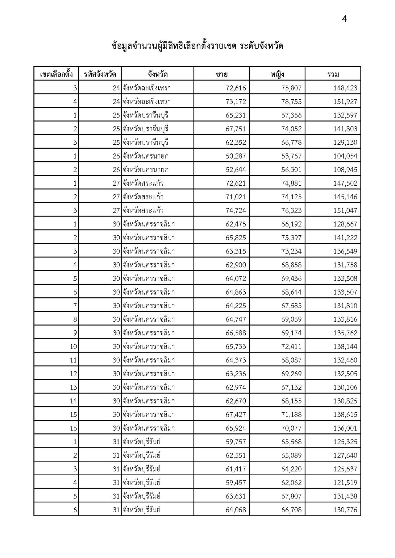
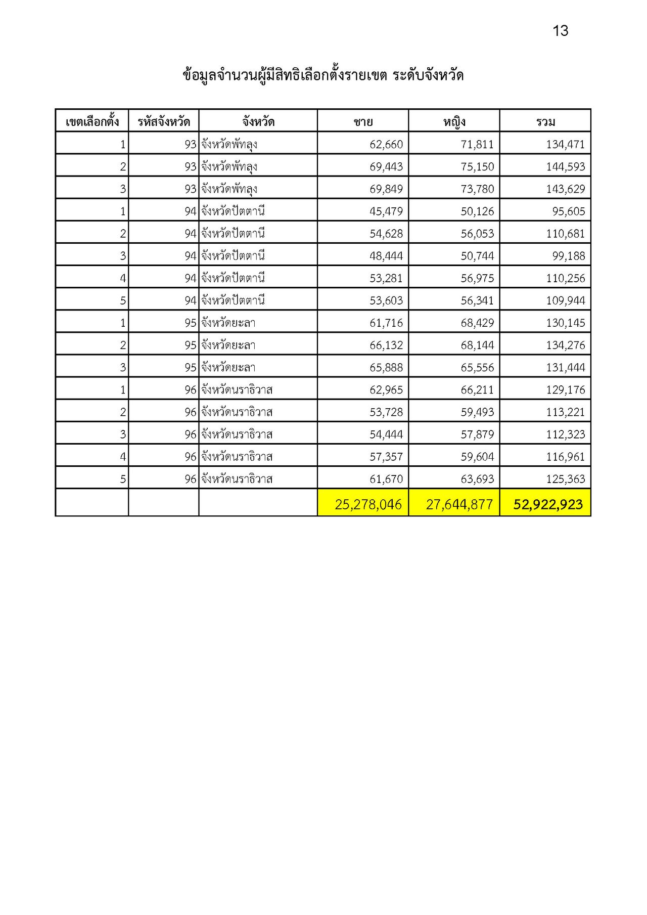
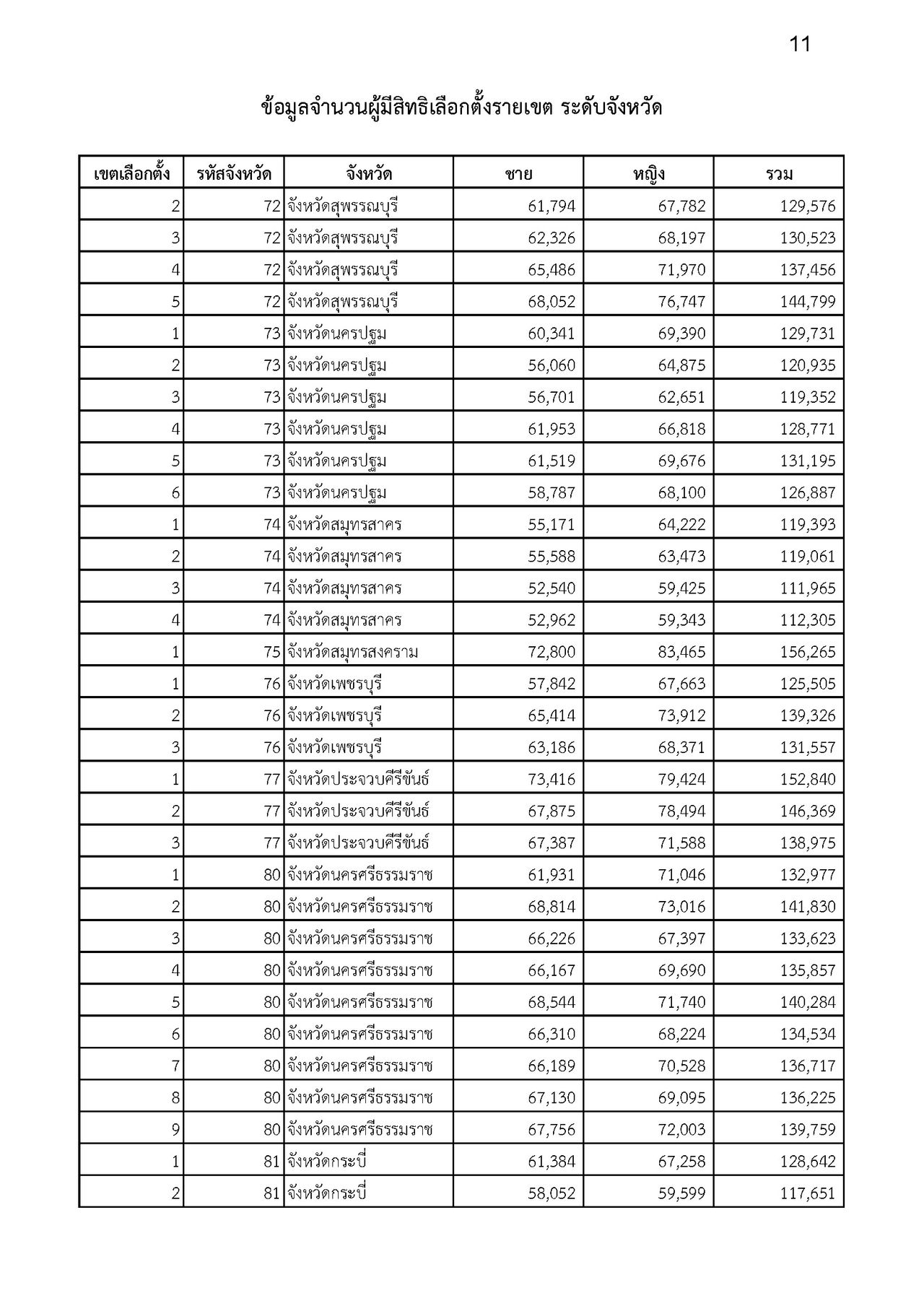
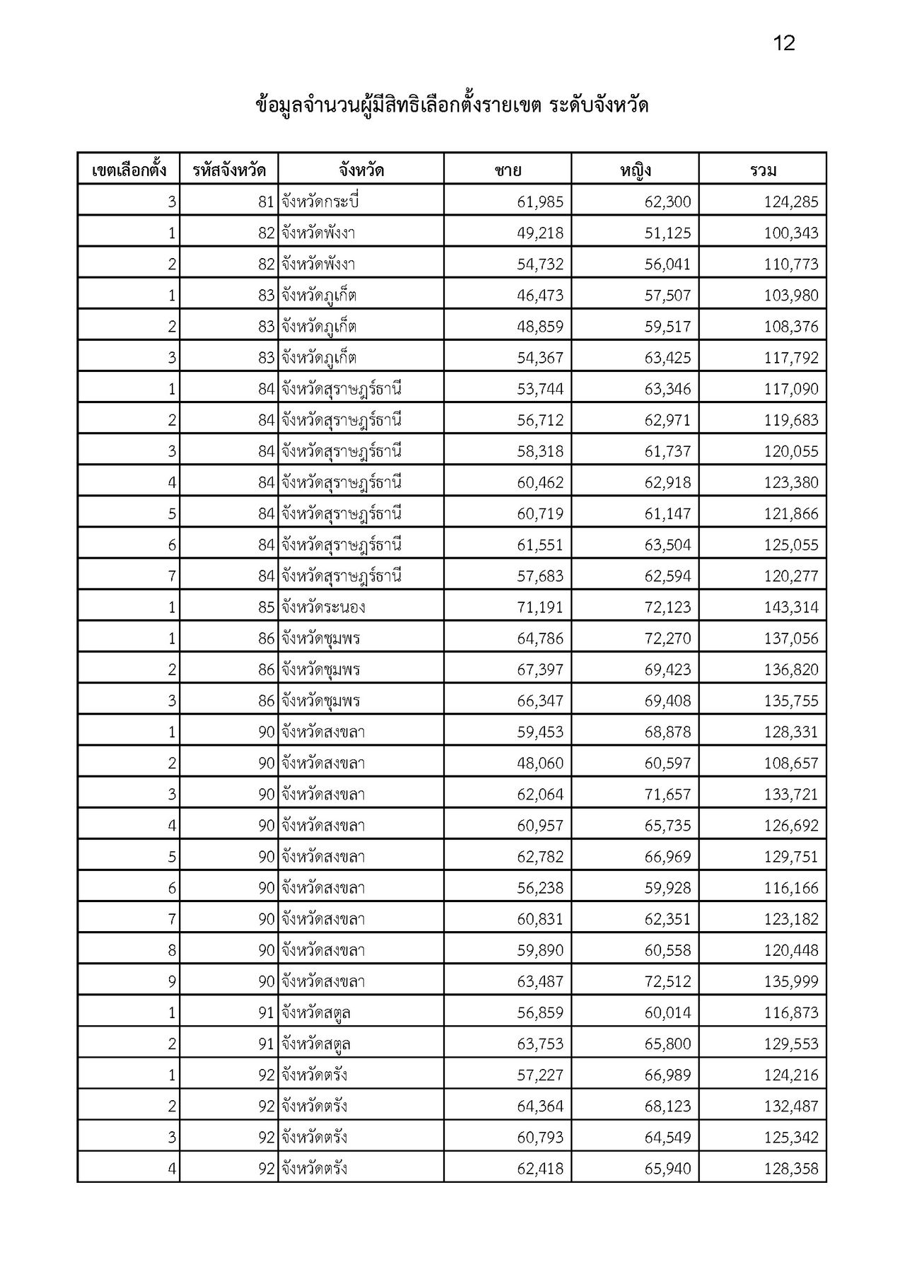
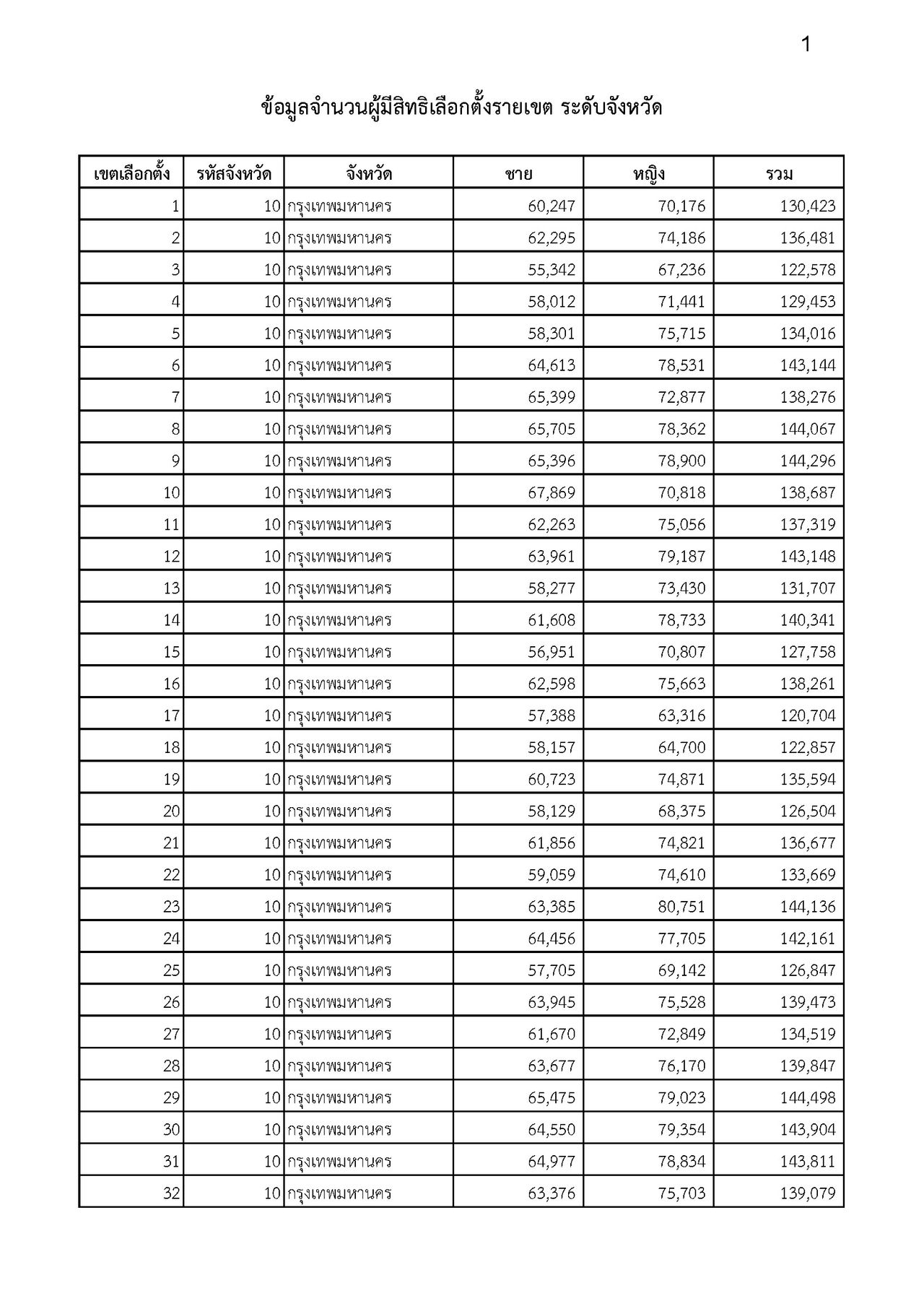
วันที่ 15 มกราคม 2569 สำนักงานคณะกรรมการการเลือกตั้ง (กกต.) เปิดเผยจำนวนผู้มีสิทธิเลือกตั้งสมาชิกสภาผู้แทนราษฎร (สส.) แยกรายเขตเลือกตั้งทั้ง 400 เขต ใน 77 จังหวัด รวมกรุงเทพมหานคร มีจำนวนผู้มีสิทธิเลือกตั้งรวมทั้งสิ้น 52,922,923 คน แบ่งเป็น ชาย 25,278,046 คน และหญิง 27,644,877 คน ข้อมูล ณ วันที่ 14 มกราคม 2569

ทั้งนี้ ข้อมูลจำนวนผู้มีสิทธิเลือกตั้งอาจมีการเปลี่ยนแปลง เนื่องจากยังอยู่ในกรอบเวลาที่สามารถยื่นคำร้องขอเพิ่มชื่อหรือถอนชื่อผู้มีสิทธิเลือกตั้งได้ จนถึงวันที่ 28 มกราคม 2569

ตรวจสอบรายชื่อผู้มีสิทธิเลือกตั้ง 2569

อย่างไรก็ตาม ประชาชนสามารถตรวจสอบรายชื่อผู้มีสิทธิเลือกตั้ง 2569 และผู้มีสิทธิออกเสียงประชามติ ได้ที่เว็บไซต์กรมการปกครอง “ตรวจสอบรายชื่อผู้มีสิทธิเลือกตั้ง” จะแสดงรายละเอียดวันเลือกตั้ง ชื่อ เขตเลือกตั้ง หน่วยเลือกตั้ง สถานที่เลือกตั้ง และลำดับที่ในบัญชีรายชื่อ

แจ้งไม่ไปใช้สิทธิเลือกตั้ง-ออกเสียงประชามติ

ส่วนกรณีที่มีเหตุจำเป็นให้ไม่สามารถไปเลือกตั้งได้ ผู้มีสิทธิสามารถแจ้งเหตุจำเป็นที่ไม่ไปใช้สิทธิเลือกตั้ง สส. ผ่านช่องทางอิเล็กทรอนิกส์ได้ “แจ้งเหตุจำเป็นที่ไม่อาจไปใช้สิทธิเลือกตั้ง สส.” ก่อนการเลือกตั้ง 7 วัน หรือภายใน 7 วันนับแต่วันเลือกตั้ง และ “แจ้งเหตุจำเป็นที่ไม่อาจไปใช้สิทธิออกเสียงประชามติ” หลังประกาศบัญชีรายชื่อ จนถึงก่อนวันออกเสียง หรือภายใน 7 วันนับแต่วันออกเสียง

...