นายอนุชา นาคาศัย รมต.ประจำสำนักนายกฯ เผย กว่า 593 วัด ทั่วประเทศ ร่วมเจตนารมณ์ “เผาศพโควิด-19 ฟรี ไม่มีค่าใช้จ่าย สั่ง พศ.ดูแลคณะสงฆ์และผู้ปฏิบัติหน้าที่ใกล้ชิดอย่างเต็มที่

วันที่ 25 ก.ค. 64 นายอนุชา นาคาศัย รมต.ประจำสำนักนายกรัฐมนตรี เปิดเผยว่า สถานการณ์เชื้อไวรัสโควิด-19 ยังคงแพร่ระบาดต่อเนื่อง และมียอดผู้เสียชีวิตเพิ่มมากขึ้น จากการตรวจสอบ พบว่า ปัจจุบันมีหลายวัดทยอยร่วมเจตนารมณ์ "เผาศพโควิดฟรีไม่มีค่าใช้จ่าย" โดยมีวัดในพื้นที่ กทม. จำนวน 62 วัด วัดในจังหวัดปริมณฑล จำนวน 124 วัด วัดในส่วนภูมิภาค จำนวน 407 วัด รวมทั้งสิ้น 593 วัด

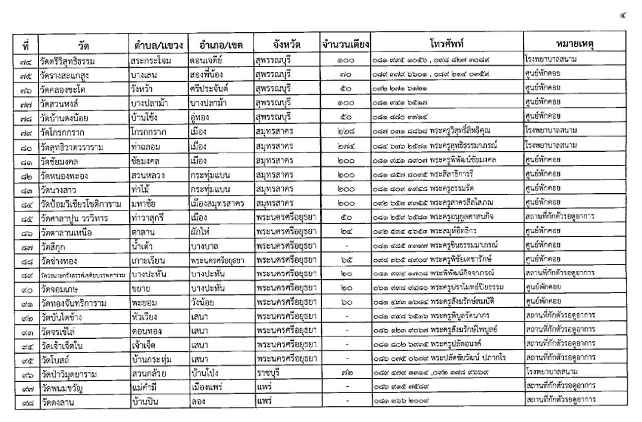
นอกจากนี้ ยังมีวัดที่มีศักยภาพและมีพื้นที่เพียงพอให้การสนับสนุนการปฏิบัติหน้าที่ของบุคลากรทางการแพทย์ โดยใช้พื้นที่วัดจัดตั้งเป็นโรงพยาบาลสนาม ศูนย์พักคอย และสถานที่กักตัวรอดูอาการผู้ติดเชื้อ เพื่อรองรับผู้ป่วยที่มีปริมาณเพิ่มขึ้นทุกวัน ปัจจุบันพบว่ามีวัดและสถานที่ในสังกัดสำนักงานพระพุทธศาสนาแห่งชาติทั่วประเทศได้ดำเนินการปรับพื้นที่แล้ว จำนวน 118 แห่ง ซึ่งมีความพร้อมรองรับและสนับสนุนการดำเนินงานทางการแพทย์ได้เป็นอย่างดี

รัฐมนตรีประจำสำนักนายกรัฐมนตรี สั่งการให้ พศ.ดูแลคณะสงฆ์และผู้ปฏิบัติหน้าที่ใกล้ชิดอย่างเต็มที่ โดยให้พิจารณาจัดหาอุปกรณ์ป้องกันเชื้อให้ทางวัด อาทิ ชุด PPE และอุปกรณ์ทำความสะอาด อีกทั้งให้เร่งประสานขอฉีดวัคซีนให้พระสงฆ์ สัปเหร่อ และผู้ปฏิบัติหน้าที่ใกล้ชิดอย่างเร่งด่วนต่อไป.

...