กรมป่าไม้เผยวิธีการกักเก็บและคำนวณคาร์บอนเครดิตของต้นไม้พร้อมเดินหน้าแนวทางต่อยอดโครงการ T-VER ชี้ผู้ที่สามารถเข้าร่วมโครงการ T-VER กับกรมป่าไม้ได้มีตั้งแต่บุคคลธรรมดา คณะบุคคล นิติบุคคลและหน่วยงานของรัฐ โดยจะได้รับประโยชน์จากการแบ่งปันคาร์บอนเครดิต

เมื่อวันที่ 24 ม.ค. นายสุรชัย อจลบุญ อธิบดีกรมป่าไม้ กระทรวงทรัพยากรธรรมชาติและสิ่งแวดล้อม (ทส.) เปิดเผยถึงวิธีการกักเก็บและคำนวณคาร์บอนเครดิตของต้นไม้ในพื้นที่ว่า การกักเก็บและคำนวณคาร์บอนเครดิตของต้นไม้ในพื้นที่ทำได้โดยการวัดปริมาณการกักเก็บคาร์บอนในปีฐานซึ่งคือปีที่ขึ้นทะเบียนโครงการลดก๊าซเรือนกระจกภาคสมัครใจตามมาตรฐานของประเทศไทยหรือโครงการ T-VER เมื่อถึงปีที่ต้องการขอรับรองคาร์บอนเครดิต ผู้พัฒนาโครงการจะต้องทำการวัดปริมาณการกักเก็บคาร์บอนในพื้นที่อีกครั้ง แล้วคำนวณส่วนต่างระหว่างสองช่วงเวลานี้ ซึ่งจะเป็นปริมาณคาร์บอนเครดิตที่ได้รับ ระยะเวลาระหว่างปีฐานและปีที่ขอรับรองขึ้นอยู่กับความประสงค์ของผู้พัฒนาโครงการ แต่องค์การบริหารจัดการก๊าซเรือนกระจก (อบก.) แนะนำให้มีระยะห่างประมาณ 3-5 ปี สำหรับอายุโครงการโดยรวม โครงการ T-VER แบบ Standard มีอายุ 10 ปี และสามารถต่ออายุได้ไม่จำกัด ส่วนแบบ Premium มีอายุ 15 ปี และต่ออายุได้ไม่เกิน 2 รอบ รวมเป็นอายุโครงการสูงสุด 45 ปี

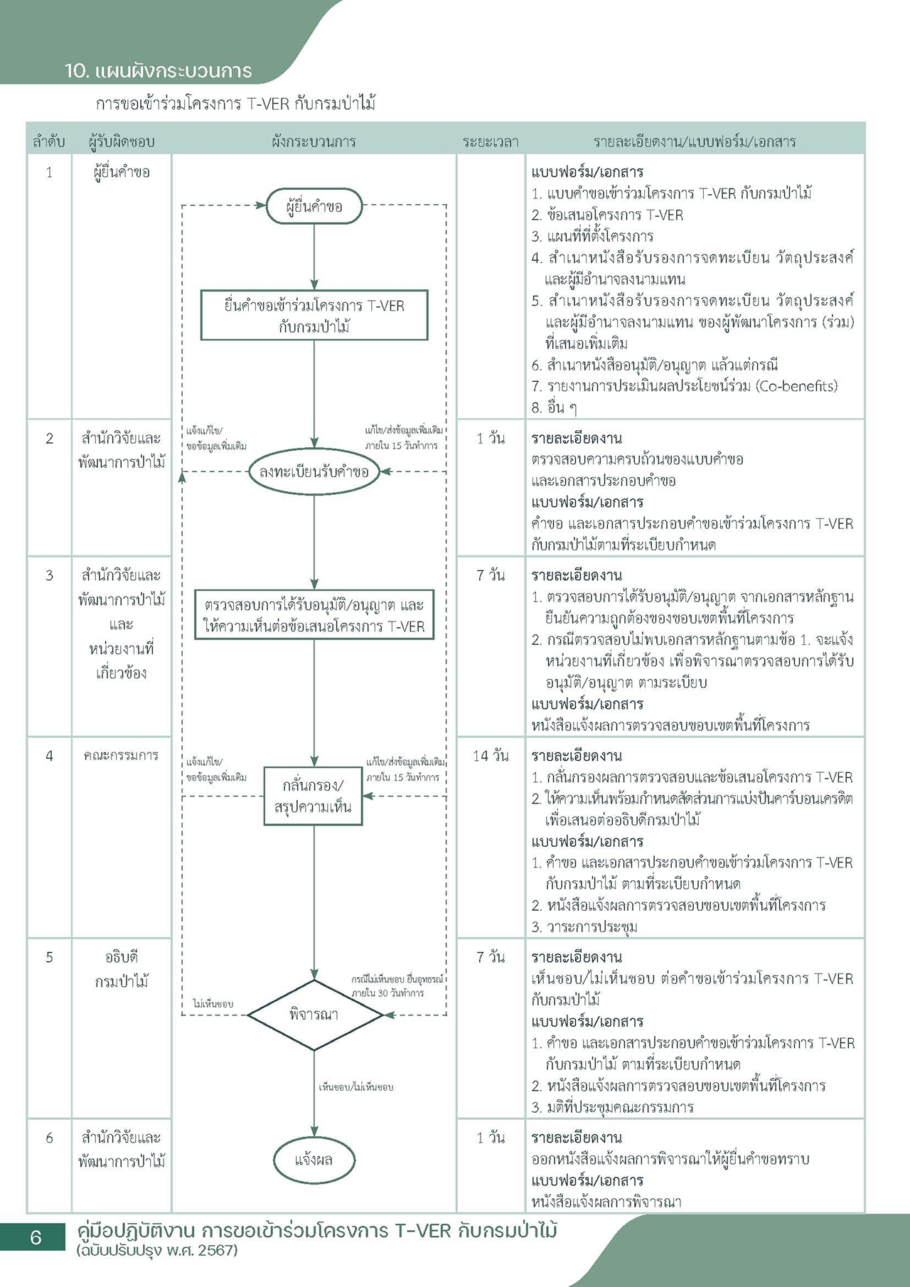
อธิบดีกรมป่าไม้กล่าวต่อว่า สำหรับผู้ที่สามารถเข้าร่วมโครงการ T-VER มีตั้งแต่บุคคลธรรมดา คณะบุคคล นิติบุคคล และหน่วยงานของรัฐ สามารถเข้าร่วมโครงการ T-VER กับกรมป่าไม้ โดยต้องได้รับอนุมัติหรืออนุญาตให้ใช้ประโยชน์พื้นที่ป่าไม้อย่างถูกต้องตามกฎหมาย เช่น ได้รับอนุมัติให้เข้าร่วมกิจกรรมกับกรมป่าไม้ตามมาตราต่างๆ ของพระราชบัญญัติป่าไม้และป่าสงวนแห่งชาติ หรือได้รับอนุญาตให้ใช้ประโยชน์พื้นที่ป่าไม้ตามกฎหมายที่เกี่ยวข้อง นอกจากนี้ ผู้ที่ได้รับการรับรองว่าอยู่อาศัยทำกินตามนโยบายรัฐบาลในการจัดที่ดินทำกินให้ชุมชน (คทช.) ก็สามารถเข้าร่วมโครงการได้ สำหรับพื้นที่ป่าชุมชน คณะกรรมการจัดการป่าชุมชนสามารถเข้าร่วมโครงการได้โดยต้องผ่านขั้นตอนการเตรียมการ สร้างการรับรู้ และทำความเข้าใจก่อน แล้วจึงดำเนินโครงการปลูกและบำรุงป่าชุมชน หรือการอนุรักษ์ การฟื้นฟู และการจัดการป่าชุมชน ก่อนที่จะขึ้นทะเบียน T-VER กับกรมป่าไม้ต่อไป

“ผู้เข้าร่วมโครงการ T-VER จะได้รับประโยชน์จากการแบ่งปันคาร์บอนเครดิตที่เกิดขึ้นจากโครงการ โดยสัดส่วนการแบ่งปันแตกต่างกันตามประเภทของพื้นที่และผู้เข้าร่วมโครงการ ในกรณีของพื้นที่ป่าตามกฎหมายและป่าสงวนแห่งชาติ ผู้ยื่นคำขอจะได้รับส่วนแบ่งร้อยละ 90 ของคาร์บอนเครดิต ขณะที่กรมป่าไม้ได้รับร้อยละ 10 สำหรับผู้ที่ได้รับการรับรองตามนโยบาย คทช. จะได้รับส่วนแบ่งร้อยละ 20 ส่วนผู้พัฒนาโครงการได้รับร้อยละ 70 กรมป่าไม้ได้รับร้อยละ 10 ในกรณีของป่าชุมชน การแบ่งปันจะแตกต่างกันระหว่างกิจกรรมปลูกและบำรุงกับกิจกรรมอนุรักษ์และฟื้นฟู โดยกิจกรรมปลูกและบำรุง กรมป่าไม้ได้ร้อยละ 5 ชุมชนได้ร้อยละ 5 เอกชนได้ร้อยละ 90 สำหรับกิจกรรมอนุรักษ์และฟื้นฟู กรมป่าไม้ได้ร้อยละ 10 ชุมชนได้ร้อยละ 40 เอกชนได้ร้อยละ 50 นอกจากผลประโยชน์ทางการเงินแล้ว ผู้เข้าร่วมโครงการยังมีส่วนร่วมในการอนุรักษ์และฟื้นฟูป่าไม้ ซึ่งช่วยแก้ไขปัญหาโลกร้อนและส่งเสริมความยั่งยืนของทรัพยากรธรรมชาติ” อธิบดีกรมป่าไม้กล่าว

นายสุรชัยกล่าวด้วยว่า สำหรับแนวทางการต่อยอดโครงการ T-VER ในอนาคตของกรมป่าไม้ มีหลายประการ ได้แก่ 1. การพัฒนาระบบติดตามและรายงานผลโดยใช้เทคโนโลยีสมัยใหม่ เช่น ระบบสารสนเทศภูมิศาสตร์ (GIS) การสำรวจด้วยภาพดาวเทียม โดรน และเทคโนโลยีไลดาร์ ควบคู่กับการสำรวจภาคสนาม เพื่อเพิ่มความแม่นยำในการวัดปริมาณคาร์บอนที่กักเก็บ 2. การวิจัยและพัฒนาเพื่อศึกษาวิธีการเพิ่มประสิทธิภาพในการกักเก็บคาร์บอนของป่าไม้ประเภทต่างๆ 3. การสร้างความตระหนักรู้และให้ความรู้แก่สาธารณชนเกี่ยวกับความสำคัญของโครงการคาร์บอนเครดิตและการอนุรักษ์ป่าไม้ 4. การทบทวนและปรับปรุงระเบียบการแบ่งปันคาร์บอนเครดิต ให้มีความยืดหยุ่นและเอื้อต่อการพัฒนาโครงการ 5. เสริมสร้างความร่วมมือกับภาคเอกชนและประชาสังคมที่มีศักยภาพในการสนับสนุนงบประมาณหรือเทคโนโลยี เพื่อช่วยให้ประชาชนที่มีพื้นที่ปลูกป่าของตนเองสามารถพัฒนาโครงการ T-VER ได้ด้วยตนเอง ซึ่งจะเป็นการเพิ่มพื้นที่ป่าเศรษฐกิจนอกพื้นที่รับผิดชอบของกรมป่าไม้ให้เกิดผลสัมฤทธิ์มากยิ่งขึ้น และ 6. การประสานงานกับหน่วยงานที่เกี่ยวข้องเพื่อให้โครงการคาร์บอนเครดิตสอดคล้องกับเป้าหมายการลดก๊าซเรือนกระจกของประเทศก็เป็นอีกแนวทางสำคัญที่จะช่วยให้โครงการ T-VER มีประสิทธิภาพและประสิทธิผลมากยิ่งขึ้นในอนาคต